Unidad 7. Actividad 21. Carpetas
Escucha el audio que aparece a continuación.
Propósito:
sumarás y restarás monomios y polinomios.
¿Consideras los trabajos manuales un arte o simplemente como una actividad más? ¿Conoces a alguien que borde, teja y elabore carpetas? Coméntalo con tu asesor o asesora.
El trabajo manual como el bordado, el deshilado y el tejido, que en muchas ocasiones llegan a ser verdaderas obras de arte, es poco apreciado y, generalmente, pobremente remunerado.
Resuelve los ejercicios 3 a 6 de la Unidad 7, que aparecen enseguida.
Unidad 7. Actividad 21. Ejercicio 3
Escucha el problema y explora las figuras para contestar.
Gelita y sus amigas elaboran carpetas con forma de pentágono y hexágono. ¿Qué cantidad de encaje requieren para adornar la orilla?
Tenemos una carpeta en forma de pentágono donde un lado mide , otro mide b y otro mide
.
Pide a tu asesor que te muestre la impresión del diagrama que corresponde a este ejercicio, el cual se encuentra en los materiales en relieve.
Tenemos una carpeta en forma de hexágono donde un lado mide y otro mide
.
El perímetro del pentágono es: 2 + 2
+
, pues tiene 2 lados que miden
, 2 que miden
y 1 que mide
.
El perímetro del hexágono es: 2 + 2
Para sumar el perímetro de ambas figuras, debemos fijarnos en los términos semejantes. En este caso son y 2
que, al sumarlos, dan 3
; por tanto, tenemos las ecuaciones:
Unidad 7. Actividad 21. Ejercicio 4
Explica por qué:8



Escucha con atención la siguiente explicación.
A veces los polinomios están dentro de un paréntesis.
Dicho paréntesis puede estar antecedido por un signo de más o de menos.
Eliminación de paréntesis
Si el signo que le antecede es positivo, se quita el paréntesis sin cambiar el signo de los sumandos del polinomio encerrado dentro del paréntesis.
Ejemplo:
Si el signo que le antecede es negativo, se cambia el signo a los sumandos del polinomio encerrado dentro del paréntesis y se quita el paréntesis.
Ejemplo:
Cuando un paréntesis lleva signo positivo y está al inicio del polinomio, generalmente no se escribe el signo; pero si es negativo, sí se escribe:
Ejemplo:
Cuando hay varios paréntesis metidos unos de otros, se eliminan paso a paso, iniciando con los interiores.
Ejemplo:
Unidad 7. Actividad 21. Ejercicio 5
Reduce los siguientes polinomios:
a.
b.
c.
d.
Escucha con atención la siguiente explicación.
Para sumar polinomios, se localizan los términos que son semejantes y se realiza la suma de sus coeficientes.
Ejemplos:
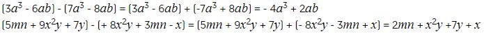
Para restar polinomios, se cambia el signo a todos los términos que forman el sustraendo y después se suma.
Ejemplo
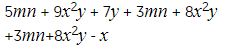
Puede ser más fácil si acomodas los polinomios en filas de acuerdo con los términos semejantes.
Ejemplo de una resta:
Por ser resta, se cambia el signo de los términos del sustraendo
Unidad 7. Actividad 21. Ejercicio 6
Resuelve los siguientes polinomios:
a.
b.
c.
d.