Autoevaluación de la Unidad 7

Pide a tu asesor que te dé, para que la palpes, la impresión de las figuras geométricas que corresponden a este ejercicio, el cual se encuentra en los materiales en relieve. Se trata de tres: un hexágono, un triángulo y un rectángulo. Explóralas.

¿Cuál es el perímetro de cada una?

Hexágono con un lado de medida efe :

Triángulo escaleno donde la hipotenusa mide d y los otros lados miden ache:

Rectángulo en el que el ancho mide q y el largo el doble de erre:

Reduce los siguientes polinomios.

d. siete eme a la cinco, mas ocho equis al cubo, menos seis eme a la cinco, menos equis, es igual a,


e. nueve ka al cuadrado, mas tres ka, mas ka al cuadrado, menos dos ka, es igual a,


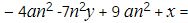
f. menos cuatro a ene al cuadrado, menos siete ene al cuadrado ye, mas nueve a ene al cuadrado, mas equis, es igual a


g. menos cinco equis al cuadrado ye, mas siete equis al cubo ye, mas tres equis al cuadrado ye, es igual a,


Multiplica los siguientes monomios:

h. nueve be por ocho be, es igual a


i. siete ene por siete ene, es igual a


j. ocho pe al cuadrado por cinco pe, es igual a


k. ocho equis por seis equis al cuadrado ye, es igual a

Realiza las siguientes multiplicaciones. Puedes reescribirlas de otra manera, si es necesario.

l. seis a mas, cinco a al cuadrado, por seis ene menos ene, es igual a


m. nueve eme al cuadrado, mas doce ene, por tres eme al cuadrado mas ene, es igual a


n. nueve equis menos dos equis al cuadrado, por siete equis menos tres equis ye, es igual a

Presiona aquí para continuar