Unidad 4. Actividad 14. Grandes construcciones
Escucha el audio que aparece a continuación.
Propósito:
resolverás problemas que involucran ecuaciones de la forma: ax + b = c y + b = c
¿Conoces algunas de las construcciones que hay en la Ciudad de México?, ¿qué construcciones hay en el lugar en dónde vives? Coméntalo con tu asesor o asesora.
Resuelve los ejercicios 16 al 20 de la Unidad 4, que aparecen enseguida.
Unidad 4. Actividad 14. Ejercicio 16
Escucha la explicación:
Antonio y Filemón necesitan conocer el diámetro de los semicírculos que sostiene el puente.
Descripción: se tiene un puente que consta de arcos de soporte o semicírculos:
Datos:
La longitud total del puente es 8.5 metros
El primer soporte mide 0.8 metros
Longitud del primer arco
![]()
Segundo soporte: 1.6 metros
Longitud del segundo arco
![]()
Tercer soporte: 0.8 metros
Altura del puente: 3.5
La incógnita es la letra
; la ecuación de la situación anterior es:
0.8 +
+ 1.6 +
+ 0.8
8.5
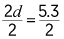
Simplificando: 2
+ 3.2
8.5
Despejamos
, para ello quitamos el 3.2:
2
+ 3.2
3.2
8.5
3.2
2
5.3
Después el 2:

2.65
Unidad 4. Actividad 14. Ejercicio 17
Escucha el problema y contesta.
Doña Adelita recibió en total 2900 pesos por 4 semanas de trabajo y una compensación de 300 pesos. ¿Cuánto gana semanalmente?
a. ¿Cuál es la incógnita del problema?
b. Elige una letra para representar la incógnita.
Plantea una ecuación que relacione los datos del problema.
Unidad 4. Actividad 14. Ejercicio 18
Escucha el problema y responde las preguntas.
Sobre periférico hay un edificio con la siguiente forma y medidas:
Pide a tu asesor que te muestre la impresión del diagrama que corresponde a este ejercicio, el cual se encuentra en los materiales en relieve.
La maceta está a 4.1 metros por encima del suelo, o a una quinta parte de la altura del edificio menos 1.5 metros.
¿Cuál es la altura del edificio?
¿Cuál es la incógnita del problema?
Plantea una ecuación que relacione los datos del problema y resuélvela.
Compara tus resultados.
Unidad 4. Actividad 14. Ejercicio 19
Escucha el problema y contesta.
Jimena ahorró 700 pesos. Le faltan 60 pesos para tener 4 veces la cantidad de dinero que tiene Rosita.
a. ¿Cuánto dinero tiene Rosita?
Unidad 4. Actividad 14. Ejercicio 20
En un anuncio colocaron 5 focos que juntos consumen 475 watts de energía eléctrica. El primero es de 100 watts, el segundo de 150 watts y los otros 3 consumen igual cantidad de energía eléctrica.
¿Cuántos watts consume cada uno de los últimos 3 focos?
Escucha atentamente la siguiente explicación para saber cómo resolver otro tipo de ecuaciones.
Ecuación de la forma:
A los dos miembros de la ecuación se resta menos
:
En el primer miembro se elimina la
, y nos queda:
Ahora, para eliminar
, se divide entre
cada miembro:

Finalmente nos queda
como incógnita despejada:

Ecuación de la forma:

Se le resta a cada miembro , y nos queda:

Se elimina
del primer miembro y nos queda:

Multiplicamos por
cada miembro; así tenemos:

Despejamos
del primer miembro:

Escucha el audio que aparece a continuación.
Escucha el siguiente texto:
¿Vivir sin matemáticas? ¡Imposible!
Quienes piensan que no necesitan de las matemáticas están muy equivocados, pues son muchos los ejemplos que existen del uso diario de los números y sus operaciones y, aunque hay muchos más que se esconden a nuestros ojos, es posible reflexionar sobre la tecnología que usamos.
Para que viaje la energía eléctrica, tuvo que calcularse la resistencia de los cables para que no se rompan ni se flexionen demasiado. El calentamiento de todos los conductores eléctricos está calculado para que no se quemen y llegue la cantidad exacta de energía que requiere el filamento de un foco para encenderse.
Las computadoras han revolucionado el conocimiento matemático y le han dado nuevas formas de estudiar la naturaleza, la sociedad, el cuerpo humano, el universo; en fin, han abierto nuevos horizontes de investigación, ya que en nuestros días, es posible simular fenómenos como la formación de arterias, de huracanes y tormentas, y hasta del caos vial, etcétera.
Michel Luntz considera que el desarrollo de la técnica da la posibilidad de nuevos avances, produciendo una reacción en cadena que a veces es frenada por cuestiones económicas, principalmente por los bajos salarios que tiene los físicos y matemáticos que hacen investigación. ¿Qué opinas?