Unidad 4. Actividad 13. Agua malgastada
Escucha el audio que aparece a continuación.
Propósito:
resolverás problemas que involucran ecuaciones de la forma ax = b y = b
Para resolver este tipo de ecuaciones debes tomar en cuenta que para representar una fracción en braille se anota el numérico, enseguida el numerador en posición baja y en el siguiente cuadratín el denominador en posición normal.
Para comenzar con esta actividad, reflexiona acerca de la siguiente información sobre el agua mal gastada.
¿Cuentas con servicio de agua potable? ¿Tienes problemas para conseguir el agua que consumes diariamente? Coméntalo con tu asesor o asesora.
El agua es un líquido esencial para la vida que, además de beber, lo usamos en múltiples actividades diarias, como son bañarse, lavar trastes, lavarse los dientes, etcétera.
La Revista del Consumidor realizó un cálculo para conocer la cantidad de agua que puede malgastar al día una familia de 5 miembros. Los resultados fueron que la familia malgastó 580 litros. ¿Cuántos litros malgasta un solo miembro de la familia?
Resuelve los ejercicios 10 al 15 de la Unidad 4, que aparecen enseguida.
Unidad 4. Actividad 13. Ejercicio 10
Para conocer cuántos litros malgasta cada miembro de la familia, usa la letra
Asegúrate de que la ecuación representa los datos del problema y que los dos miembros de la ecuación sean equivalentes.
Resuelve la ecuación y compara tus resultados.
Unidad 4. Actividad 13. Ejercicio 11
Escucha el problema y responde.
La familia malgasta 29 cubetas de agua, lo que da un total de 580 litros. ¿De cuántos litros es cada cubeta de agua?
Utiliza la letra
como incógnita y plantea una ecuación que te permita calcular el número de litros que le caben a una cubeta.
Asegúrate de que la ecuación representa los datos del problema y de que los dos miembros de la ecuación son equivalentes.
Resuelve la multiplicación.
A continuación lee atentamente cómo multiplicar una fracción por un número entero.
Se escribe primero el número entero cómo fracción y se multiplica numerador por numerador y denominador por denominador:

Se sigue el mismo procedimiento cuando se usan incógnitas:

Se tiene la siguiente ecuación
¿Cómo resolverla?

Unidad 4. Actividad 13. Ejercicio 12
Consumir pollo puede mejorar el humor y la concentración, y ayuda a prevenir el asma. 140 gramos aportan la mitad de proteínas diarias recomendadas. Además, tiene bajo contenido en grasa y posee muchas proteínas, grasas monoinsaturadas, zinc y vitamina B12.
a. Plantea una ecuación donde la incógnita sea la cantidad de gramos de pollo que se requieren para consumir el total de proteínas diarias recomendadas. Resuélvela.
Escucha la explicación.
Todo número diferente de cero dividido entre sí es igual a 1, así:

Todo número diferente de cero multiplicado por uno es igual a sí mismo:
1
Unidad 4. Actividad 13. Ejercicio 13
El perímetro de un patio cuadrado es de 32 metros. ¿Cuánto mide su lado?
¿Cuál es la incógnita del problema?
Escribe la fórmula para calcular el perímetro del cuadrado.
¿Qué datos conoces y cuál falta por conocer?
¿Cómo modificarías la fórmula para encontrar la medida buscada?
Realiza las operaciones y verifica tus respuestas.
Unidad 4. Actividad 13. Ejercicio 14
Un señor cobra el doble que su hijo por hacer un trabajo. Este mes los dos ganaron 4500 pesos. ¿Cuánto ganó el papá y cuanto ganó el hijo?
papá:
hijo:
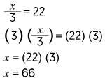
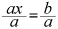
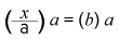
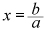
Escucha la siguiente explicación para resolver ecuaciones.
Para resolver las ecuaciones de la forma ax
y de la forma = 
siendo que las letras
y
serán sustituidas por un número natural, tenemos para la primera ecuación:
Dividimos entre ambas miembros y tenemos:

Se elimina en el primer miembro la
, y nos queda:

Para el segundo tipo de ecuación:

Multiplicamos ambos miembros por
, y nos queda:

En el primer miembro se elimina la
:

Unidad 4. Actividad 13. Ejercicio 15
Resuelve las siguientes ecuaciones.
