Unidad 5. Actividad 16. ¡Factura!
Escucha el audio que aparece a continuación.
Propósito:
Graficarás la relación entre dos variables.
¿Pagas impuestos?, ¿haces declaración de impuestos? ¿Alguna vez has pedido una factura para comprobar gastos? ¿Has oído hablar del
desglosado? Coméntalo con tu asesor o asesora.
El Impuesto al Valor Agregado (
) es el 16 % que pagamos de impuesto por casi todo lo que consumimos: ropa, zapatos, artículos electrodomésticos, etcétera.
Cuando una persona trabaja en forma independiente puede comprobar gastos por medio de una factura en la cual debe ir el
desglosado, es decir, en la factura deben aparecer el precio del artículo sin
, el 16% sobre el precio del artículo y el precio total.
Resuelve los ejercicios 4 a 6 de la Unidad 5, que aparecen enseguida.
Unidad 5. Actividad 16. Ejercicio 4
Fernando es cajero de una tienda donde venden artículos como los siguientes:
Cámara digital: Lp fotosmart 435 pesos, precio 1960 pesos con
.
paquete minilab, contiene: impresora, cámara digital, papel fotográfico, memoria stick.
precio: 6299 con
.
Proyector Lp SB-21, precio: 19299 pesos con
.
Con mucha frecuencia, Fernando tiene que hacer facturas con
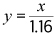
desglosado. Él sabe que, para calcular el precio de un artículo sin
, solo tiene que sustituir el precio final del artículo por la x en la ecuación:

Representar el signo de porcentaje puntos 4, 5, 6 y 3, 5, 6.
Para llenar los datos de la factura, calcula el precio de la cámara de la factura sin
, siendo este último de 16 por ciento.
Encuentra el precio sin
de cada uno de los siguientes artículos (sigue el primer ejemplo y completa los que faltan):
Artículo: Lp fotosmart 435
Precio final: 1960 pesos
Sustitución en la ecuación: 
Precio sin
: 1 689.66
Artículo: proyector Lp SB-21
Precio final:
Sustitución en la ecuación.
Artículo: paquete minilab
Precio final.
Escucha con atención la siguiente explicación.
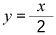
Para resolver una ecuación con dos variables, hay que asignar valores a la variable independiente y calcular los valores correspondientes de la variable dependiente. Por ejemplo, en la ecuación
, se pueden asignar varios valores a
para calcular los de
, y con ellos graficar:
x: 20, 30, 40, 50, 60, 70
: 10, 15, 20, 25, 30, 35
Realiza la gráfica en tu plano cartesiano. Los valores para
van de 10 en 10, y para
van de 5 en 5. Recuerda que el orificio inferior izquierdo es cero, y dejas un orificio vacío y el siguiente es el valor de 20 en el eje de las abscisas y de 10 en el eje de las ordenadas.
Unidad 5. Actividad 16. Ejercicio 5
El Impuesto sobre la Renta (ISR) representa 10 por ciento de las ganancias netas del trabajador. De tal forma que la cantidad de dinero que una persona recibe finalmente por su trabajo está definida por la ecuación
Tenemos un ejemplo de recibo de honorarios.
Recibo de honorarios.
Número. 000005
Honorarios: 3000 pesos
Retención de ISR 1 por ciento 300 pesos
Total: 2700 pesos
a. En los siguientes datos asigna valores diferentes a
y calcula los valores correspondientes a
en cada caso. Analiza los ejemplos y procura que las cantidades vayan aumentando con cierta regularidad hasta llegar a 3000 pesos. Luego elabora una gráfica con estos valores.
Completa el que falta:
: 2300
: 2070
: 2600
: 234
:
:
Unidad 5. Actividad 16. Ejercicio 6
Con la ecuaciónEscucha el audio que aparece a continuación.
Las personas comunes pensamos que las matemáticas no tienen mucha relación con la vida diaria. Creemos que se reducen a operaciones básicas como la suma, la resta, la multiplicación y la división; al cálculo de perímetros, áreas y volúmenes, y al conocimiento de unas cuantas características de las figuras y cuerpos geométricos.
Pensamos erróneamente que sólo los genios pueden resolver problemas y acercarse y disfrutar de un conocimiento matemático más elaborado, con mayores frutos y ventajas. Nos imaginamos que los matemáticos no realizan ningún esfuerzo para comprender y proponer nuevas teorías matemáticas. Creemos que es la inspiración, y no el trabajo, lo que permite avances importantes.
Muchas veces pensamos que las matemáticas no son para nosotros, cosa que pagamos muy caro cuando tenemos que aceptar contratos y situaciones que no entendemos y dejamos en manos de otros para que nos expliquen o simplemente tomen las decisiones que debíamos tomar.
Con frecuencia nos negamos a aprender si lo que aprendemos no tiene una aplicación inmediata, porque ponemos en primer lugar lo utilitario; nos damos cuenta que existen muchísimas situaciones en la que requerimos un conocimiento matemático y no lo usamos porque no lo tenemos, no porque no sea de utilidad.
Santiago López de Medrano, matemático orgullosamente mexicano, nos invita a reflexionar acerca de las matemáticas teóricas o puras y las aplicadas. Es muy difícil hacer una distinción entre unas y otras, pero, fundamentalmente, las matemáticas aplicadas implican algún tipo de utilidad en cualquier rama de conocimiento o actividad humana, sea científica, técnica, cultural o de cualquier tipo. En cambio, las matemáticas puras surgen de la propia investigación matemática y las inquietudes e intereses de los matemáticos.
Uno puede pensar que no tiene sentido hacer matemáticas que no se utilicen, que sólo tendrían que desarrollarse ramas de las matemáticas que tengan una utilidad inmediata. No obstante, López de Medrano encuentra que algunas ramas de las matemáticas aplicadas han dado origen a un tipo de matemáticas puras, y que algunas ramas de las matemáticas puras han encontrado una aplicación, por ejemplo, “en el diseño y estudio de lenguajes para programar calculadoras electrónicas, se han estado aplicando técnicas de la lógica matemática, en particular, de la teoría de las demostraciones”.
También Michel Luntz señala que unos de los éxitos de las matemáticas puras es la construcción de piezas aerodinámicas, que facilitan el movimiento debido a que tienen una menor resistencia al aire.
Es interesante saber que las matemáticas que han surgido para solucionar problemas específicos de la física, también han dado origen a ramas de las matemáticas puras. Por ello, es cada vez más difícil hacer una distinción entre las matemáticas puras y las aplicadas.
Responde las preguntas de las sección “Para saber más” de la Unidad 5.
Para saber más
Contesta.
a. ¿Alguna vez te has negado a aprender algo que aparentemente no tiene una aplicación inmediata?
b. ¿Qué se entiende por matemáticas aplicadas?
c. ¿Por qué es tan difícil hacer una distinción entre las matemáticas puras y las aplicadas?